食品科学技术学报201601 - page 51

从图
7
可以看出
,
在植物乳杆菌
YW11
的生长
(6 ~ 18 h),
随着发酵时间的延长
,EPS
的产量增
长速度较快
,
18 h
, EPS
的产量达到最高为
46郾 51 mg / L。
然而
,18 h
,EPS
的产量呈现小幅度
下降
,
随着发酵时间的继续延长
,EPS
的产量趋于稳
,
36 h,EPS
产量为
44郾 48 mg / L。
因此发酵时间
选为
18 h。 Zhang
[12]
Wang
[13]
的研究发现随
着发酵时间的延长
,
植物乳杆菌
C88
70810
EPS
产量均呈现出下降趋势
,
并推断这可能是由于
培养时间过久
,
培养基中营养成分缺乏以及发酵后
期细菌产生了可降解多糖的酶所致
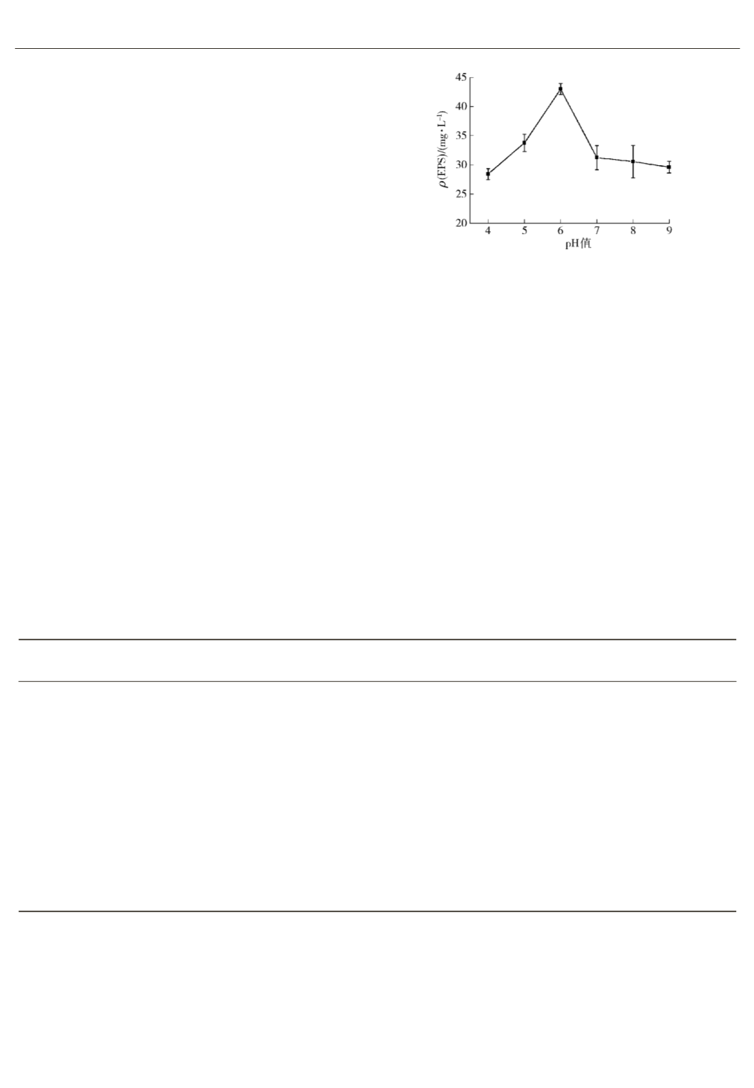
2郾 1郾 8摇
pH
值对
EPS
产量的影响
培养基初始
pH
值是微生物在确定的发酵环境
中代谢活动的综合指标
,pH
值通过改变酶活性从而
间接控制微生物的代谢
不同
pH
值下
EPS
产量的
变化如图
8。
从图
8
可以看出
,
在不同的
pH
值下
,
植物乳杆
YW11 EPS
的产量各不相同
pH
值为
4
,
EPS
产量较低
,
这可能是由于低
pH
值抑制了菌体
的生长
,
从而影响
EPS
的分泌
;
pH
6郾 0
,EPS
的产量达到最大为
42郾 99 mg / L。
研究表明
,
pH
5郾 8 ~ 6郾 2
,
乳酸菌
EPS
合成量最大
,
pH
摇 摇
8摇 pH
值对植物乳杆菌
YW11 EPS
产量的影响
Fig. 8摇 Effect of pH on yields of EPS from
Lactobacillus plantarum
YW11
值的降低
,
则会导致多糖的合成由于失去类异戊二
烯脂中间体而受到阻碍
[14]
。 Shu
[15]
研究发现
,
生物产
EPS
的最适
pH
值在中性偏酸
;
此后
,
随着
pH
值继续升高
,EPS
产量降低较为显著
因此
,
pH
6郾 0
进行下一步实验
2郾 2摇
正交试验筛选发酵条件显著性
在单因素实验基础上
,
对影响植物乳杆菌产胞
外多糖的
6
个因素
(
大豆蛋白胨质量浓度
、pH
种量
乳糖质量浓度
发酵时间
发酵温度
)
进行二
水平正交设计
,
结果如表
1。
1摇
二水平正交试验安排
、EPS
产量与极差分析
Tab. 1摇 Experimental design, results, and intuitive analysis of two鄄level orthogonal design
因素
(
乳糖
) /
(g·L
-1
)
(
大豆蛋白胨
) /
(g·L
-1
)
接种量
/
%
pH
温度
/
时间
/
h
空白
(EPS) /
(mg·L
-1
)
实验
1
5
5
1
4
32
18
1
43郾 65
实验
2
5
5
1
6
47
36
2
68郾 76
实验
3
5
15
3
4
32
36
2
60郾 21
实验
4
5
15
3
6
47
18
1
75郾 59
实验
5
15
5
3
4
47
18
2
44郾 89
实验
6
15
5
3
6
32
36
1
49郾 61
实验
7
15
15
1
4
47
36
1
79郾 68
实验
8
15
15
1
6
32
18
2
95郾 56
均值
1
62郾 05
51郾 73
71郾 91
57郾 11
62郾 26
64郾 92
62郾 13
均值
2
67郾 43
77郾 76
57郾 58
72郾 38
67郾 23
64郾 57
67郾 36
极差
5郾 38
26郾 03
14郾 34
15郾 27
4郾 97
0郾 36
5郾 22
摇 摇
空白列为误差项
,
空白列中的
1
2
表示
1
水平和
2
水平
摇 摇
分析表明
,
各因素对
EPS
产量影响的重要性由
大到小依次为大豆蛋白胨质量浓度
、pH
接种量
碳源质量浓度
发酵温度
发酵时间
选取影响最显
著的
3
个因素
(
大豆蛋白胨质量浓度
、pH
接种
)
作为考察的重点
,
通过响应面法进一步分析
2郾 3摇
植物乳杆菌
YW
11
EPS
主要影响因素的响
应面分析结果
根据
BBD
原理
,
设计
3
因素
3
水平的响应面分
析实验
通过
Design -Expert
响应面设计软件分析
,
共有
17
个实验点
(
见表
2),
以大豆蛋白胨质量浓
64
食品科学技术学报
摇 摇 摇 摇 摇 摇 摇 摇 摇 摇 摇 摇 摇 摇 摇 摇
摇 2016
1
1...,41,42,43,44,45,46,47,48,49,50 52,53,54,55,56,57,58,59,60,61,...84
Powered by FlippingBook