食品科学技术学报201601 - page 49

替代
SDM
培养基中的基础碳源
,EPS
产量结果如
1。
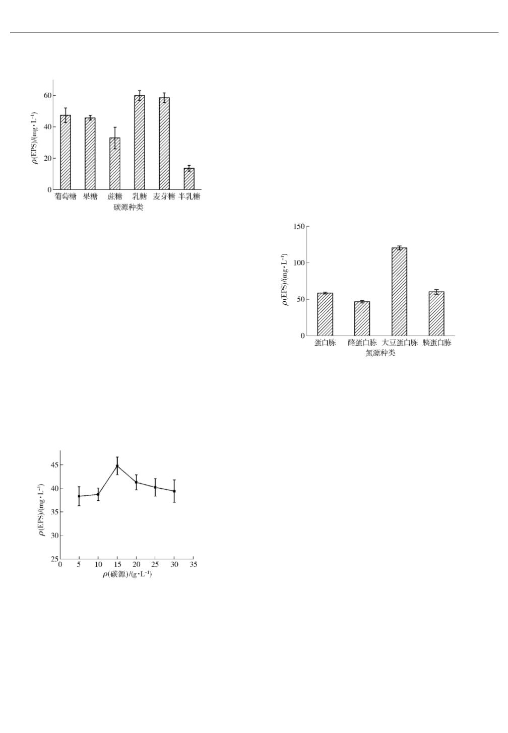
1摇
不同碳源对植物乳杆菌
YW11 EPS
产量的影响
Fig. 1摇 Effect of different carbon sources on yields
of EPS from
Lactobacillus plantarum
YW11
由图
1
看出
,
植物乳杆菌
YW11
6
种碳源下
均能产生
EPS,
但其产量存在显著差异
其中以乳
糖为碳源时
,EPS
产量最高为
59郾 98 mg / L,
其次为麦
芽糖
葡萄糖
果糖
蔗糖
,
半乳糖产量最低为
13郾 62
mg / L。
牛乳中存在大量乳糖
,
便于微生物利用且成
本较低
,
因此
,
选择乳糖作为碳源进行下一步研究
2郾 1郾 2摇
碳源质量浓度对
EPS
产量的影响
碳源质量浓度对
EPS
的合成也有着重要的影
为了得到最佳的乳糖质量浓度
,
分别选用不同
质量浓度的乳糖
(5 ~ 30 g / L)
添加到
SDM
培养基
,
结果如图
2。
2摇
乳糖质量浓度对植物乳杆菌
YW11 EPS
产量的影响
Fig. 2摇 Effect of lactose concentrations on yields
of EPS from
Lactobacillus plantarum
YW11
由图
2
可知
,
随着乳糖质量浓度的增加
,EPS
产量呈现先增加后降低的趋势
,
在乳糖质量浓度为
15 g / L
,EPS
的产量达到最高
(44郾 74 mg / L)。
乳糖质量浓度较低时
,
乳糖仅为微生物的生长提供
能量和碳元素
,
此时
EPS
的产量较低
,
随着乳糖质
量浓度的增加
,
微生物的生长完成
,EPS
的产量随即
增加
当乳糖质量浓度过大时
,
由于打破了适合微
生物生长的
C / N,
菌株生长缓慢
,EPS
的产生受到抑
,
导致产量随之下降
故选取乳糖质量浓度为
15
g / L
进行下一步实验
2郾 1郾 3摇
氮源对
EPS
产量的影响
氮源的主要作用是为微生物细胞生长和代谢提
供氮素及能量
为了筛选到最适合植物乳杆菌
YW11
EPS
的氮源
,
分别选用
4
种不同氮源
(
普通
蛋白胨
酪蛋白胨
大豆蛋白胨
胰蛋白胨
)
10 g / L
的质量浓度替代
SDM
培养基中的基础氮源
,
结果如
3。
3摇
不同氮源对植物乳杆菌
YW11 EPS
产量的影响
Fig. 3摇 Effect of different nitrogen sources on yields
of EPS from
Lactobacillus plantarum
YW11
由图
3
看出
,
植物乳杆菌
YW11
利用
4
种不同
种类的氮源都能产生
EPS,
EPS
的产量有显著差
其中
,
氮源为大豆蛋白胨作时
,EPS
产量最高为
120郾 01 mg / L,
其次为胰蛋白胨
普通蛋白胨
,
酪蛋白
的产量最低为
46郾 57 mg / L。
因此选用大豆蛋白胨
作为氮源进行下一步实验
2郾 1郾 4摇
氮源质量浓度对
EPS
产量的影响
氮源质量浓度对
EPS
的合成有着重要的影响
为了得到最佳的大豆蛋白胨质量浓度
,
分别选用不
同质量浓度的大豆蛋白胨
(5 ~ 30 g / L)
添加到
SDM
培养基中
,
结果见图
4。
如图
4,
随着大豆蛋白胨质量浓度的增加
,EPS
的产量也发生变化
当大豆蛋白胨质量浓度增加到
15 g / L
,EPS
的产量达到最大
(109郾 82 mg / L);
15 ~ 25 g / L
质量浓度范围内
,EPS
的产量相对稳定
,
然而当继续增加质量浓度时
,EPS
的产量有所降低
,
30 g / L
100郾 84 mg / L。 Li
[9]
研究也发现了低
质量浓度氮源可促进
EPS
产生
,
而高质量浓度氮源
抑制
EPS
产生
,
从而进一步表明
C / N
EPS
的生产
有着重要影响
因此
,
选用
15 g / L
的大豆蛋白胨质
44
食品科学技术学报
摇 摇 摇 摇 摇 摇 摇 摇 摇 摇 摇 摇 摇 摇 摇 摇
摇 2016
1
1...,39,40,41,42,43,44,45,46,47,48 50,51,52,53,54,55,56,57,58,59,...84
Powered by FlippingBook